Skip to main content

VAMNE MagUltra Circulating Cell-free DNA Isolation Kit

$150.00 - $1,150.00
SKU:
N913
Adding to cart… The item has been added

Product Description  

VAMNE MagUltra Circulating Cell-free DNA Isolation Kit, based on superparamagnetic nanoparticle purification technology, is suitable for purifying cell-free DNA (cfDNA) from 0.2-10 ml serum, 0.2-10 ml plasma, 2-10 ml urine, and other cell-free body fluid samples efficiently. Specially optimized for the recovery of low molecular weight nucleic acids, this kit delivers high extraction efficiency, good integrity and reliable reproducibility. It enables simple and rapid extraction of cfDNA for use in various downstream application such as quantitative PCR, NGS or other molecular experiments. This kit is compatible with magnetic rod-based automated nucleic acid extraction systems for high-throughput extraction.

Features  

  • Flexible input volume: Compatible with 0.2 - 10 ml of serum and plasma, 2 - 10 ml of urine, and other cell-free liquid samples

  • Efficient recovery of target fragments: High yield and excellent recovery of small fragments, with consistent and reliable quality for downstream analysis

  • Non-toxic: Free from toxic organic solvents such as phenol and chloroform, and does not require the addition of isopropanol

  • Automated and efficient: Compatible with 24-well nucleic acid extraction instrument, enabling the processing of up to 24 samples in just 1 hour

Performance  

  • Flexible input volume

Using Vazyme #N913, along with the market-leading product Supplier A, we extracted plasma samples at volumes of 0.2, 0.5, 1, 2, 4, and 10 ml. The yield of the extract nucleic acids was quantified using fluorescence quantifier, and the fragment distribution was analyzed by Agilent 2100 Bioanalyzer (Figures 1A and 1B). The results showed that Vazyme #N913 delivered comparable yield and quality across all test input volumes when compared to Supplier A.

VAMNE MagUltra Circulating Cell-free DNA Isolation Kit

VAMNE MagUltra Circulating Cell-free DNA Isolation Kit

Figure 1. Comparison of extraction yield and peak profiles between N913 and comparable products under different input volumes of plasma samples

Note: The elution volume for the 10 ml input system is twice that of the 4 ml system.

  • Efficient recovery of target fragments

To evaluate the performance of Vazyme #N913, simulated samples were prepared by spiking dsDNA fragments of different sizes (80 bp, 170 bp, and large gDNA fragments) into 2 ml PBS, with a final target fragment concentration of 10 ng/ml. A 2 ml plasma sample was processed in parallel for comparison. Vazyme #N913 was compared with commercially available products from Supplier A, D, F, and G in terms of target fragment purification. The concentration of the purified products was measured using fluorescence quantifier (Figures 2 and 3A), and the fragment distribution was analyzed with Agilent 2100 Bioanalyzer (Figure 3B). The results showed that Vazyme #N913 exhibited superior recovery of small fragments compared to Suppliers D, F, and G, and performed comparably to Supplier A. Additionally, it showed significantly lower recovery of non-target large gDNA fragments compared to the other products. The fragment analysis confirmed that the target DNA purified with Vazyme #N913 was equivalent or superior than other suppliers, with undetectable large gDNA contamination.

VAMNE MagUltra Circulating Cell-free DNA Isolation Kit

Figure 2. Comparative results of fragment recovery between N913 and comparable products across different DNA fragment sizes

 

VAMNE MagUltra Circulating Cell-free DNA Isolation Kit

Figure 3. Comparative results of extraction yield and peak profiles between N913 and comparable products use plasma samples

 

  • Superior downstream data quality

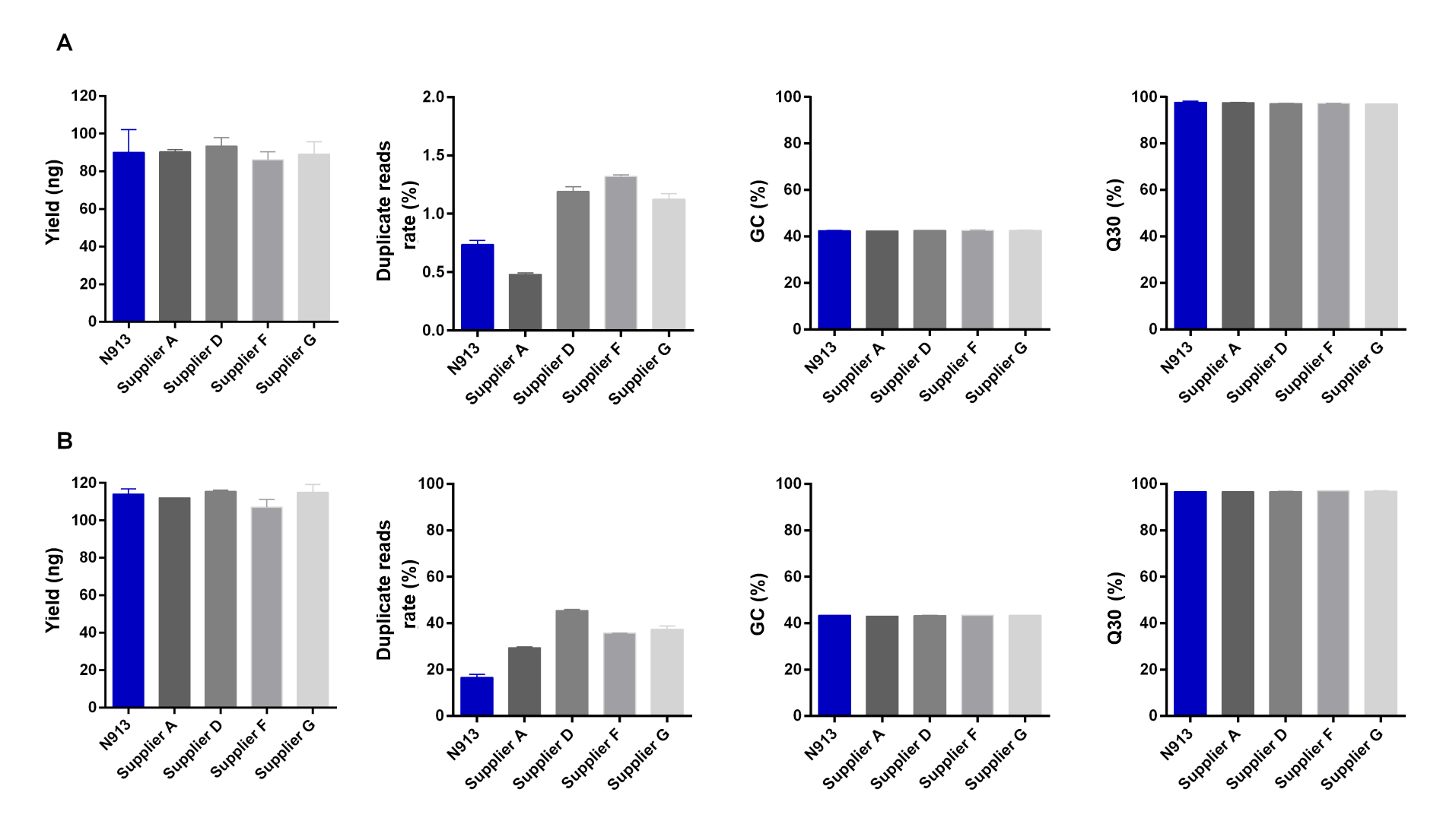
Vazyme #N913 was compared with market-leading products (Supplier A, D, F, G) in the extraction from 2 ml plasma samples (including both normal and hemolyzed samples). After quantification with fluorescence quantifier, Vazyme #ND627 library preparation kit and Vazyme #N321 adapter kit were performed. Captured libraries underwent sequencing, and then data were analyzed. The results showed that N913 performed comparably to Supplier A, D, F, and G in library yield, GC content, and Q30 values. In terms of duplication rate, N913 showed similar performance to Supplier A for normal samples, and outperformed Suppliers D, F, and G (Figure 4A). For hemolyzed samples, N913 demonstrated superior performance over all compared suppliers (Figure 4B).

VAMNE MagUltra Circulating Cell-free DNA Isolation Kit

Figure 4. Comparison of downstream sequencing quality between N913 and competing products

Note: A: Library preparation data for normal samples (library yield, duplicate reads rate, GC content, and Q30 value); B: Library preparation data for hemolyzed samples (library yield, duplicate reads rate, GC content, and Q30 value)

Components  

VAMNE MagUltra Circulating Cell-free DNA Isolation Kit

▲ Number of preps is calculated based on 2 ml sample input per reaction.

 

  • N913-P1

For cfDNA extraction from less than 2 ml sample per reaction, additional Buffer WA (Vazyme #N913-P1) needs to be purchased separately.

  • N913-C4

For automated cfDNA extraction using full-automatic nucleic acid extraction instrument (Vazyme #VNP-24P), 24 deep-well plates and magnetic rod sleeves (Vazyme #N913-C4) need to be purchased separately to be used with #N913 reagents.

Storage  

BOX 1, Store at 2 ~ 8°C and ship on ice pack.

BOX 2, Store at 15 ~ 25°C and ship at room temperature.

Product Manual

Manual_N913_V25.1
N913 Program